Profondeur de champ
En optique et surtout en photographie, pour un réglage et une utilisation donnés d'un appareil photo, la profondeur de champ correspond à la zone de l'espace dans laquelle doit se trouver le sujet à photographier pour qu'on puisse en obtenir...
Catégories :
Article à désacadémiser - Optique appliquée à la photographie - Technique photographique - Technique cinématographique - Profondeur de champ
Recherche sur Google Images :
Source image : www.galerie-photo.com Cette image est un résultat de recherche de Google Image. Elle est peut-être réduite par rapport à l'originale et/ou protégée par des droits d'auteur. |
Page(s) en rapport avec ce sujet :
- La Profondeur de champ est maximale lorsque le diaphragme est fermé au maximum (F 22, 0 en .... Lorsque le diamètre d'un cercle noir fait 1/2000 de la distance... (source : arnaudfrichphoto)
- La profondeur de champ est d'autant plus grande que la focale est courte, que le plan de mise au point est éloigné et que l'objectif est fermé. Distance... (source : univ-lemans)
- Plus la focale est longue (100, 200 mm), plus la profondeur de champ est faible; De la distance du sujet. Plus le sujet est proche, plus la profondeur de ... (source : gdesroches)
En optique et surtout en photographie, pour un réglage et une utilisation donnés d'un appareil photo, la profondeur de champ correspond à la zone de l'espace dans laquelle doit se trouver le sujet à photographier pour qu'on puisse en obtenir une image que l'œil (ou un autre dispositif optique) acceptera comme nette.
L'étendue de cette zone dépend de nombreux paramètres qui interviennent au moment de la prise de vue (surtout la distance de mise au point, l'ouverture du diaphragme et le format de la surface sensible). En photographie la maîtrise de la profondeur de champ est indispensable à la réussite des prises de vues, surtout pour le portrait, la macrophotographie, le paysage, la publicité, etc.
Résumé
- Plus on ferme le diaphragme, plus la profondeur de champ augmente, mais plus la diffraction dégrade l'image.
- Au mieux, le pouvoir séparateur angulaire de l'œil sert à distinguer des détails de 0, 33 mm à 1 m, ou de 3, 3 mm à 10 m, etc., ce qui correspond à un angle d'environ 1/3000 radian. Pour les applications courantes, on adopte plutôt 1/1 500 radian. Un manque de contraste donne l'impression trompeuse d'un manque de netteté.
- L'iris de l'œil et le diaphragme de l'appareil photo n'ont absolument pas les mêmes fonctions et il faut se méfier de toute comparaison abusive.
- Si la mise au point est faite sur l'infini, tout paraît net au-delà d'une certaine distance, en deçà de l'infini, dite distance «hyperfocale», qui fluctue avec l'ouverture du diaphragme et la focale de l'objectif. Si la netteté doit s'étendre d'une distance a jusqu'à l'infini, il faut régler la mise au point sur 2a (distance hyperfocale) et déterminer l'ouverture du diaphragme selon le degré de netteté souhaité. Les appareils à mise au point fixe sont calés sur l'hyperfocale.
- Les échelles de profondeur de champ gravées sur les objectifs sont fort utiles, lorsqu'elle s existent. Le testeur de profondeur de champ sert à fermer manuellement le diaphragme à une valeur donnée et de contrôler l'étendue de la profondeur de champ pour choisir l'ouverture de diaphragme optimum pour une profondeur de champ désirée.
- Un objectif de longue focale ne permet pas de s'approcher du sujet mais il sert à n'en voir qu'un détail en limitant l'angle de champ de la prise de vue.
- En macrophotographie, l'œil perd ses repères d'appréciation de la perspective. Pour un format de négatif ou de capteur donné, quand l'image finale est examinée depuis une distance identique à sa diagonale, la profondeur de champ dépend du grandissement à la prise de vue et de l'ouverture du diaphragme mais pas de la focale de l'objectif utilisé. Elle augmente lorsque le format de prise de vue diminue.
Les différentes formules que nous allons établir reposent sur des hypothèses bien définies mais fréquemment fort éloignées des situations pratiques, ou alors impossibles à respecter. C'est pourquoi nous envisagerons ensuite comment il convient de les utiliser de façon optimale ou même de les modifier pour tenir compte des situations concrètes.
Retenons l'avertissement sévère de Louis-Philippe Clerc (La technique photographique, 2e édition, 1934) : On ne saurait trop insister sur le caractère arbitraire de tels calculs, basés sur la conception artificielle de rayons lumineux ; cette conception, conçue pour favoriser l'application à l'optique des règles de la géométrie, même occasionnellementoù elles ne sont plus applicables, amène souvent à des conclusions en antagonisme avec les prévisions de l'optique physique, dûment vérifiées par l'expérience ; surtout, dans le cas reconnu, l'optique géométrique ne tient pas compte d'un facteur essentiel, la répartition de la lumière au sein des taches-images.
Les principaux résultats
Nous disposons désormais de l'ensemble des éléments pour entrer dans le vif du sujet. Les hypothèses sont les mêmes que dans le cas précédent et les diverses distances seront notées conventionnellement OA=a, OA'=a', OP=p, etc. La mise au point a été faite à la distance du point P et la surface sensible calée particulièrement précisément sur le point P'où convergent les rayons issus de P.
- Les rayons issus d'un point extrême R, qui correspond à la limite éloignée de profondeur de champ, convergent en R'et poursuivent leur course jusqu'à la surface sensible où ils forment une tache de diamètre
. - Les rayons issus d'un point extrême A, qui correspond à la limite proche de profondeur de champ, convergeraient en A's'ils n'étaient pas interceptés par la surface sensible, sur laquelle ils forment eux aussi une tache de diamètre
.
La portion de l'espace comprise entre les deux plans perpendiculaires à l'axe optique qui passent par A et R sera susceptible d'apporter une image nette compte tenu des critères adoptés pour le calcul. L'espace qui sépare ces deux plans correspond à la profondeur de champ. Cette profondeur fluctue beaucoup avec le diaphragme, elle peut être quasi nulle si l'objectif est lumineux et grand ouvert et énorme s'il est fermé au maximum.
Les calculs complets figurent en annexe, pour les amateurs, à la fin de ce paragraphe. Ils sont légèrement fastidieux mais ne présentent pas de difficulté spécifique.
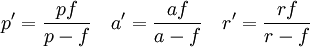
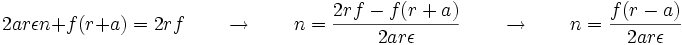
Recherche de réglages, connaissant l'objectif et la profondeur à obtenir
Si la netteté doit s'étendre de la distance a à la distance r, la mise au point doit être faite dans l'ensemble des cas à la distance :
![]() |
avec comme ouverture maximale du diaphragme :
![]() |
Exemple : on veut photographier un sujet dont les divers éléments intéressants sont compris entre 1, 5 m et 3 m, avec un objectif de focale 50 mm (0, 05 m) et une netteté angulaire de 1/1500.

Le diaphragme est par conséquent bien un instrument de mise au point !
En réalité, faut-il avoir un ordinateur sous la main pour faire ce calcul ? Non, si l'objectif dont on dispose est pourvu d'une échelle de profondeur de champ !
De part et d'autre du losange qui sert de repère pour les échelles de distance et de diaphragme, on voit des traits symétriques portant des valeurs de diaphragme, 4, 8 et 16. En tournant la bague de mise au point de façon que les repères 1, 5 m et 3 m deviennent symétriques comparé au losange, comme par miracle, on fait la mise au point sur ... 2 m. De plus, nos deux repères se trouvent quelque part entre les graduations d'ouverture 11 (nombre non gravé) et 16. Avec 12, 5, notre calcul n'est apparemment pas si mauvais. Nous expliquerons plus loin ce petit «miracle».
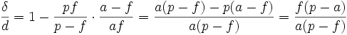
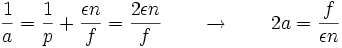
Recherche de la profondeur, connaissant l'objectif et les réglages
On peut au contraire rechercher les deux distances extrêmes a et r correspondant à un réglage donné de la mise au point et du diaphragme, pour un objectif donné :
![]() |
ou si on préfère :
![]() |
Au lieu de calculer, on peut aussi utiliser les échelles de l'objectif qu'on souhaite utiliser, s'il en possède, ce qui n'est bien entendu pas le cas sur les appareils de bas de gamme.
Remarque 1 : vous lirez ou entendrez certainement un jour que la profondeur de champ est répartie pour un tiers devant le plan de mise au point et deux tiers derrière. En réalité, elle couvre toujours davantage derrière que devant mais pas en proportions fixes : en macrophoto, les profondeurs avant et arrière sont presque identiques mais pour le paysage, lorsque la netteté couvre jusqu'à l'infini, la zone arrière est illimitément plus grande que la zone avant. Même si elle peut correspondre particulièrement grossièrement à des applications comme le portrait ou le nu en studio, la répartition 1/3 - 2/3 ne survient que dans des cas spécifiques et mieux vaut oublier cette «loi» qui n'en est pas une.
Remarque 2 : vous trouverez peut-être dans d'autres ouvrages des formules légèrement différentes, dans lesquelles les distances sont comptées non pas à partir du centre optique (ou du point nodal objet) mais à partir du plan du film. Cela ne change rien en pratique pour les sujets éloignés mais les résultats peuvent être particulièrement incorrects en macrophotographie.
Profondeur de champ et distance focale
La profondeur de champ fluctue avec la focale et le diamètre de l'ouverture choisie (diaphragme sur un appareil photographique).
Annexes : le détail des calculs
Ce paragraphe n'est destiné qu'aux lecteurs qui s'intéressent à l'aspect mathématique des choses et sa lecture n'est pas indispensable pour comprendre la suite de cet exposé.
Calcul d'a (ou r)

Les formules habituelles des lentilles simples permettent d'écrire :


D'autre part 


CQFD. Le calcul de r se conduit précisément de la même manière.
On va partir de a et remplacer p par la valeur qui vient d'être calculée :


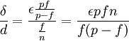
Distance hyperfocale
La profondeur de champ couvre normalement entre une limite proche et une limite lointaine. Que se passe-t-il quand la seconde se trouve rejetée à l'infini ?
En reprenant les formules, 
Si r tend vers l'infini, la seconde donne :

Le report de p dans la première apporte la relation avec a :

Finalement :
![]() |
Il en résulte que si la netteté doit s'étendre d'une distance a jusqu'à l'infini :
- la première chose à faire est de régler la mise au point sur 2a ;
- la seconde est de déterminer l'ouverture du diaphragme selon le degré de netteté souhaité.
Avec un objectif de 50 mm de focale (0, 05 m), une profondeur de champ s'étendant de 5 m à l'infini et une limite de netteté de 1/1500, la mise au point sera faite sur 10 m et le diaphragme à prendre sera :

C'est bien ce qui est indiqué sur l'échelle de profondeur de champ :
En passant au diaphragme 16, les distances peuvent être divisées par 2 et , avec une mise au point sur 5 m, la netteté obtenue s'étendra de 2, 5 m jusqu'à l'infini.
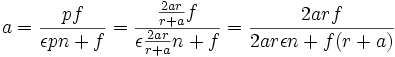
Par convention, on nomme distance hyperfocale la quantité :
![]() |
Au contraire de la focale, l'hyperfocale ne caractérise pas un objectif donné, mais un ensemble de trois paramètres que sont la focale, l'ouverture du diaphragme et le degré de netteté choisi arbitrairement (ce qui ne veut pas dire au hasard !).
Quand on met au point sur l'infini, la netteté commence à l'hyperfocale. Sur l'échelle de profondeur de champ de notre objectif, h se lit directement en face des graduations du diaphragme.
On lit 5 m à 16, 10 m à 8 et , en prolongeant la série, on déduit 20 m à 4 ou 40 m à 2, ouverture maximale de cet objectif.
Au diaphragme 16, mise au point faite sur l'infini, la netteté commence à 5 m. En mettant au point sur 5 m, elle couvre de 2, 5 m à l'infini. Le fait de mettre au point sur l'infini est presque toujours une erreur et forme, d'une certaine manière, un «gaspillage» des possibilités de l'objectif. Pour un paysage, par exemple, l'œil est particulièrement strict pour la netteté des objets localisés à quelques mètres ou dizaines de mètres mais bien plus tolérant pour celle des lointains, ce qui rend toujours plus logique une mise au point au voisinage de l'hyperfocale.
Une mise au point a priori sur l'hyperfocale a permis à énormément de grands photographes, par le passé, de gagner un temps précieux quand ils faisaient des photos sur le vif : ils n'avaient ainsi plus besoin de se préoccuper de la mise au point. Actuellement, cette notion est toujours utile aux photographes qui ont l'habitude d'opérer avec un appareil non automatique ou avec un automatisme à priorité diaphragme : même si l'appareil se charge de la mise au point, le fait de fixer le diaphragme pour disposer dans l'ensemble des cas d'une profondeur de champ suffisante perfectionne les chances de réussite.
Les appareils à mise au point fixe sont réglés une fois pour toute sur l'hyperfocale qui correspond à la plus grande ouverture de leur diaphragme. Il faut par conséquent s'attendre à ce qu'ils donnent leurs moins mauvais résultats à des distances de l'ordre de 3 à 5 m.
Enfin, selon h, les formules de la profondeur de champ s'écrivent sous une forme qui n'est pas sans rappeler la formule de Snell-Descartes :
![]() |
ou si on préfère :
![]() |
Échelles de profondeur de champ et abaques
Quand on fait fluctuer la mise au point d'un appareil photographique, on modifie le tirage de l'objectif, c'est-à-dire la distance p' qui sépare son point nodal image (l'équivalent du centre optique d'une lentille mince) de la surface sensible. Cette variation s'opère par coulissement du porte-objectif ou, le plus fréquemment, par rotation de l'objectif monté sur une rampe hélicoïdale. C'est cette dernière situation qui nous intéresse ici.
Le tirage minimum est identique à la distance focale f quand la mise au point est réglée sur l'infini, puisque dans ce cas l'image se forme dans le plan focal du même nom. Pour les autres distances de mise au point, le tirage augmente, puisque dans les conditions qui nous intéressent on a toujours p'> f, d'une quantité D'= p'- f.
La formule de Newton nous permet alors d'écrire :

Dans l'immense majorité des cas, les photos sont prises depuis une distance particulièrement grande comparé à la distance focale de l'objectif utilisé et on peut négliger la seconde devant la première ; le calcul qui suit n'est par conséquent pas valable dans les cas de la proxiphotographie et de la macrophotographie. Cela donne, p étant la distance de mise au point :

Lorsque l'objectif est monté sur une rampe hélicoïdale, l'augmentation du tirage sera proportionnelle à l'angle parcouru depuis la position correspondant à la mise au point à l'infini. La formule nous montre que les graduations de mise au point, sauf pour les distances particulièrement rapprochées lorsqu'elle s sont repérées sur la bague, forme une échelle d'inverses ou échelle homographique.
Pour une distance de mise au point donnée, nous savons que la netteté sera obtenue entre les deux distances a et r qui déterminent la profondeur de champ, telles que :

Ces formules montrent que la distance de mise au point p, les deux distances a et r et l'hyperfocale h peuvent être représentées particulièrement aisément sur la même échelle. Il est par conséquent envisageable d'utiliser directement les valeurs de l'hyperfocale, pour les différents diaphragmes, de part et d'autre du repère de mise au point. La limite de netteté admise par la majorité des constructeurs est de l'ordre de 1/1500 ou quelquefois de 1/2000.
Rappelons que cette graduation n'est utilisable que si la distance focale est petite devant la distance de mise au point. Si tel n'est pas le cas, la graduation principale n'est plus une échelle homographique et la précision donnée par les repères est de plus en plus médiocre. En macrophotographie, les graduations de profondeur de champ ne sont plus d'aucun secours et il faut faire appel à des tables ou à des abaques.
Voici ci-dessous deux abaques correspondant aux cas généraux ainsi qu'à la proxiphotographie (en cliquant on obtient une version haute résolution prête à imprimer). Un abaque spécial pour la macrophotographie est donné plus loin dans le chapitre consacré à ce sujet.
Testeur de profondeur de champ
Avec les appareils reflex modernes (diaphragme automatiquement tenu ouvert à pleine ouverture), on vise à pleine ouverture, ce qui forme un élément de confort non négligeable. Quand on déclenche, le diaphragme se ferme à la valeur préchoisie puis, après que l'obturateur a fonctionné, il s'ouvre à nouveau en grand.
Le testeur de profondeur de champ sert à fermer manuellement le diaphragme à une valeur donnée. Ce système particulièrement simple devrait équiper toujours l'ensemble des appareils reflex, car il est totalement indispensable.
Que on photographie un paysage, un modèle, un monument, etc., on a toujours intérêt à se rapprocher des ouvertures moyennes de diaphragme (f 5, 6, f 8, f 11) pour bénéficier d'une qualité optique optimale. Si on ferme le diaphragme à 5, 6 ou 8 (en utilisant le bouton testeur de profondeur de champ), l'image reste suffisamment lumineuse pour qu'on puisse évaluer convenablement l'étendue de la netteté.
La visée à pleine ouverture sur le verre dépoli de l'appareil montre une image qui correspond à une profondeur de champ particulièrement faible. Quand le sujet principal est en premier plan devant un décor bien plus éloigné, le fond parait flou mais quand le diaphragme se ferme au moment de la prise de vue, l'augmentation de profondeur de champ qui en résulte rend plus ou moins nets des éléments du décor dont la présence sur l'image peut se révéler particulièrement gênante.
Problèmes liés au non respect de la distance orthoscopique
Quand on enseigne la perspective à des étudiants en architecture, il faut non seulement leur apprendre à tracer convenablement les diverses vues qu'ils montreront à leurs clients, mais également leur montrer comment, à partir de documents à deux dimensions, il est envisageable de restituer la disposition des objets dans l'espace. Il faut connaître pour cela un nombre minimum de données géométriques, sans quoi rien n'est envisageable.
Ici, le jeu pourrait consister à retrouver la hauteur du tonnelet rouge, sachant que celle du tonnelet vert est de 9 cm et que les deux jouets sont posés sur un même plan horizontal. Il n'est pas gagné d'avance !
| A - Grand-angulaire | B - Téléobjectif | |
![]() |
..... | ![]() |
Sur les deux photos A et B, l'avant du tonnelet vert a la même hauteur ; sur la photo B, les deux tonnelets ont la même hauteur. Un point de vue plus ou moins éloigné modifie les dimensions relatives, mais ce n'est pas tout, il modifie aussi les formes : les cercles sont vus sous la forme d'ellipses bien plus aplaties sur la photo B que sur la photo A.
Si on veut qu'une photographie restitue aussi totalement que envisageable la réalité, il faut l'examiner sous un angle semblable à celui sous lequel le sujet était vu lors du déclenchement. Le tonnelet rouge a l'air légèrement bizarre sur la photo A, qui retrouverait un aspect naturel si on l'examinait depuis une distance légèrement inférieure à sa largeur, soit à peu près 9 cm sur un écran de 19 pouces. Il y a une justice pour les myopes. Pour avoir l'air naturelle, la photo B devrait être regardée d'une distance identique à à peu près deux fois sa diagonale, à peu près 25 cm sur le même écran. De particulièrement près, elle prend bien entendu un allure bizarre et de particulièrement loin, elle donne l'impression que les deux tonnelets sont semblables mais posés à des hauteurs différentes.
Notre cerveau, en œuvrant, finira par nous convaincre que le tonneau rouge est moins haut que le vert. En réalité, il mesure 7 cm.
Le respect rigoureux de l'angle de prise de vue est fréquemment complexe, ou alors impossible. Imaginons un immeuble de 10 m de hauteur photographié depuis une distance de 150 m. Si, sur une photographie de format 20x30 cm, son image mesure 10 cm, alors la distance d'observation doit être aussi divisée par 100, ce qui donne 1, 5 m. Le spectateur, n'ayant probablement pas les bras assez longs, devra poser la photo sur un support et prendre du recul. Si les photos ont été prises avec un téléobjectif puissant, il devra les regarder d'encore plus loin et , si elles ont été prises de particulièrement près avec un grand-angulaire extrême, il faudra qu'il y colle le nez.
Mieux : dans une salle où on projette des diapositives, l'ensemble des spectateurs devraient occuper le même siège et en changer à chaque fois que le photographe a changé de focale...
Mais que se passe-t-il dans la vie réelle ?
- Les photographies de format «carte postale» ou plus petites sont presque toujours regardées largement trop loin, de sorte que énormément de leurs défauts passent inaperçus. Notre étude ne s'y applique guère et d'ailleurs, comme les statistiques le prouvent, ces «souvenirs» finissent généralement au fond d'un tiroir, après qu'on les a regardés deux ou trois fois : trop peu de photographes prennent le temps d'annoter soigneusement leurs photos et de choisir celles qu'ils vont archiver.
- Vous verrez quelquefois, dans des expositions plus ou moins prestigieuses, des photos minuscules montées sur des fonds blancs exorbitants. C'est à la mode mais cette façon de faire, qu'on ne devrait jamais conseiller à des débutants car elle les empêche de progresser, est a priori suspecte lorsqu'elle devient systématique. L'œil est irrésistiblement attiré pas les zones claires d'une scène et le cadre prend alors le pas sur la photo, qui paraît alors plus sombre. Cet effet renforce celui du format trop petit, vu de trop loin, pour masquer les défauts d'une image.
- Les œuvres de ceux qui font «de la photo», et non «des photos», ont été choisies avec soin et agrandies dans un format plus confortable, par exemple 20x30 cm. On les observe instinctivement depuis une distance environ identique à leur diagonale, ce qui correspond au champ visuel connu «normal» du genre humain. Selon ce principe, une image de 24x36 cm est regardée depuis une distance d'environ 43 cm. Pour un photographe d'âge mûr, c'est plutôt 50 cm car au fil du temps le champ visuel se rétrécit et la vision de près se dégrade. Cette distance, toujours environ la même, ne tient pas compte de la focale utilisée pour la prise de vue. Elle sert à conserver assez bien l'angle de vision si le photographe a utilisé, en format 24x36 mm, une focale dite normale de 45 à 50 mm, sinon, les problèmes apparaissent !
Appelons fo la focale «normale» correspondant au format de l'image enregistrée (43 mm pour le 24x36, 85 mm pour le 6x6, etc. ) et Do la diagonale d'un agrandissement homothétique de cette image, sur papier ou sur écran. Le second grandissement sera bien sûr :

La focale réellement utilisée à la prise de vue peut être exprimée selon la focale normale, la distance orthoscopique fluctuera dans le même rapport selon Do :

Naturellement, si la distance orthoscopique n'est pas respectée, l'appréciation de la netteté se trouvera profondément modifiée et avec elle , la profondeur de champ apparente.
Photographie au téléobjectif
Un objectif de longue distance focale ne permet en aucun cas de s'approcher du sujet, par contre il apporte une image plus grande que si on utilisait une focale «normale».
Dans ce cas la photographie finale est le plus souvent regardée largement trop près. Un agrandissement de 20x30 cm obtenu à partir d'un négatif de 24x36 mm (g'= 200/24) et d'un objectif de 300 mm devrait être regardé depuis une distance :

Cette distance est bien entendu bien plus grande que celle qui sera le plus souvent observée dans la réalité. Le spectateur va se rapprocher de l'image et par conséquent percevoir comme flous des détails qui, vus à la distance orthoscopique, apparaîtraient nets. Concrètement, si on se place à 50 cm au lieu de 2, 5 m, il faudra être 5 fois plus strict sur la netteté et par conséquent adopter comme limite angulaire non plus 1/1500 mais 1/7500, ce qui change énormément de choses.
- Pour un objectif de focale normale, une bonne qualité optique peut suffire. Pour un téléobjectif, il faut atteindre l'excellence pour que les résultats soient à la hauteur.
- L'image étant regardée largement trop près, les divers plans donnent l'impression assez désagréable d'être "tassés". Pour éviter cette impression, on peut suggérer de faire une mise au point impeccable sur le sujet principal en laissant tout le reste flou. Un seul plan bien mis en valeur vaut mieux que plusieurs défectueux ; les grandes photos sont fréquemment les plus simples.
- Un téléobjectif à la fois ouvert et particulièrement bon dès la pleine ouverture permettra d'augmenter le flou à l'endroit où il faut, en diminuant la profondeur de champ, et d'éviter au contraire le flou dû à la mauvaise qualité optique ainsi qu'aux «bougés» (le bougé de l'appareil et celui du sujet, si ce dernier est mobile).
On comprend mieux par conséquent pourquoi un téléobjectif à la fois puissant, lumineux et en particulier de bonne qualité dès la pleine ouverture atteint aisément le coût d'une petite voiture.
Photographie au grand-angulaire
Un objectif grand-angulaire oblige à se tenir particulièrement près du sujet, sinon ce dernier n'occupe sur l'image qu'une place insignifiante. Nous parlons ici des véritables objectifs grand-angulaires, qui sont exempts de distorsion, et non des objectifs de type «fish-eye». Sans grand risque d'erreur, nous pouvons déjà inverser l'ensemble des propositions précédentes.
Un agrandissement de 24x36 cm réalisé selon un négatif de 24x36 mm posé derrière un objectif de 17 mm doit normalement être observé à 17 cm au lieu des 45 ou 50 habituels. Il est évident que la photographie résultante sera presque toujours observée de trop loin.
- Un objectif médiocre donnera par conséquent aisément des photographies flatteuses, du moins au centre, et la profondeur de champ paraîtra augmentée. En effet, en se tenant trois fois trop loin, tout se passe comme si on tolérait une limite de netteté divisée par 3, par conséquent 1/500 au lieu de 1/1500.
- À la distance orthoscopique, les bords de l'image sont nettement plus éloignés de l'œil que la zone centrale et vus particulièrement obliquement, ce qui diminue particulièrement normalement l'angle de vision pour les détails qui s'y trouvent. Ce double effet s'atténue particulièrement vite dès que la distance d'observation augmente, ce qui justifie la réputation qu'ont ces objectifs de déformer les images. On peut, évidemment, détourner cet effet à son profit pour obtenir des photographies spectaculaires, mais dans ce cas, la notion de profondeur de champ perd toute signification...
| 50 mm | 17 mm | |
![]() |
..... | ![]() |
Juste pour le plaisir des yeux deux photos du même bateau dans le port de Bordeaux, la première prise au 50 mm, la seconde quelques minutes plus tard au 17 mm.
Tout comme pour les téléobjectifs, les particulièrement bons grand-angulaires sont des pièces d'optique particulièrement onéreuses. Le problème pour les opticiens est de trouver des formules optiques servant à corriger en même temps toute une série d'aberrations, sans créer de vignetage et en conservant une ouverture raisonnable.
Cas spécifique de la macrophotographie
Quand on photographie un paysage, une scène de rue, dans une moindre mesure un nu ou un repas de famille, la taille de l'image est particulièrement petite comparé à la taille du sujet et le grandissement prend une valeur proche de 1. L'image se forme à une distance du centre optique ou du point nodal image particulièrement un peu supérieure à la distance focale. Il n'en est pas de même en proxiphotographie et en particulier en macrophotographie qui est un domaine où, par définition, l'image a des dimensions identiques ou supérieures à celles du sujet.
Le schéma qui nous a servi à établir les formules théoriques de la profondeur de champ correspondait en fait à une situation relevant de la proxiphotographie.
Les deux formules générales que nous avons auparavant établies restent bien entendu valables pour un examen de l'image finale depuis la distance orthoscopique.
Entre la photographie des sujets de taille importante et celle des sujets minuscules, il existe une différence principale qui n'est néenmoins presque jamais signalée dans la littérature photographique :
- Les grands objets sont le plus souvent plus ou moins familiers car on les côtoie, on vit peut-être au milieu d'eux, on connaît leurs formes et leurs propriétés. C'est ainsi qu'en examinant des photographies où apparaissent des êtres humains, des arbres, des bâtiments, des animaux domestiques, etc., il est assez facile de restituer mentalement la disposition des éléments dans l'espace, d'évaluer leurs dimensions respectives ou de détecter d'éventuelles disproportions.
- Les particulièrement petits objets, par contre, demandent qu'on les découvre avant d'aller plus loin. Pour ce faire, une photographie n'est pas nécessairement la meilleure solution, d'autant qu'elle peut fréquemment être particulièrement ambiguë et donner une idée particulièrement fausse de la réalité. La troisième dimension, qui réapparaît grâce à la vision binoculaire ou à la stéréophotographie, sert à lever les doutes et quelquefois, de s'apercevoir que la façon dont on s'imaginait un objet à partir d'une photo était totalement erronée ! C'est à dire, l'œil n'a plus de repère et le plus souvent, lorsque on lui présente une macrophotographie à diverses distances, il est totalement incapable d'en ressentir les éventuelles déformations liées au non respect de la distance orthoscopique.
On se trouve par conséquent devant une alternative : ou bien la macrophotographie est conçue pour un usage scientifique, il faut alors retrouver la distance orthoscopique exacte, en particulier si on doit procéder à des mesures de dimensions ; ou bien elle n'a qu'un but d'illustration, artistique ou non, et dans ce cas la distance d'observation importe peu.
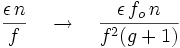
C'est pourquoi nous supposerons que l'image est examinée depuis une distance identique à sa diagonale, selon une procédure désormais habituelle, et nous corrigerons en conséquence la netteté conventionnelle.
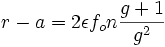
- première correction : si la prise de vue se fait avec un objectif de focale normale fo, l'allongement du tirage n'est plus négligeable, l'image se formant à une distance p' du centre optique telle que p'=fo (g+1) . La distance orthoscopique n'est plus Do mais Do (g+1) .
- seconde correction : si la photo est prise avec une focale f différente de fo la distance orthoscopique doit être multipliée par f/fo.
Nous allons en tenir compte directement en modifiant en conséquence l'angle limite de netteté : 
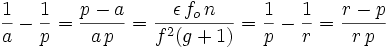
Il en résulte que : 
La transformation des formules générales donne alors : 
Dans les conditions qui sont ici les nôtres, les trois valeurs a, r et p sont particulièrement voisines, de sorte qu'on peut écrire avec une très bonne approximation : 
En remplaçant p par sa valeur selon le grandissement
, il vient :
![]() |
Pour un format de négatif donné, quand l'image finale est examinée depuis une distance identique à sa diagonale, la profondeur de champ dépend du grandissement souhaité lors de la prise de vue et de l'ouverture du diaphragme mais pas de la focale de l'objectif utilisé pour la prise de vue. Rappelons que la focale normale fo est identique à la diagonale du format.
Amateurs de calculs, attention ! La majorité des objectifs «macro» modernes, surtout ceux qui permettent d'atteindre directement le rapport 1, sont en réalité des zooms. L'augmentation du grandissement se fait à la fois par augmentation du tirage (l'objectif avance comparé à l'appareil) et par diminution de la distance focale. Ainsi, un objectif «macro» de 90 mm de focale sera bien un 90 mm pour les mises au point lointaines (excellent pour le portrait) mais deviendra un objectif de 60 ou 55 mm au rapport 1. En cas de besoin, les fabricants sont en mesure de préciser la loi de variation et le déplacement des points nodaux.
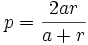
L'abaque ci-dessous donne directement la profondeur de champ r-a pour le format 24x36 selon le rapport de grandissement souhaité et de l'ouverture du diaphragme. En cliquant on accède à la version haute définition directement imprimable.
La profondeur de champ augmente lorsque le format de prise de vue diminue. Supposons réalisées les conditions suivantes :
- l'objectif de prise de vue est parfait ;
- l'agrandissement de l'image enregistrée pour donner l'image finale qui sera examinée ne cause aucune perte.
Au lieu d'un format 24x36, utilisons par exemple un format 12x18. La focale normale passera, pour faire simple, de 50 à 25 mm. Le grandissement à la prise de vue sera deux fois plus petit, mais l'image obtenue devra ensuite être agrandie deux fois plus.
Avec un diaphragme de 16 et un grandissement de 1, le format 24x36 donnera une profondeur de champ de :
Cette valeur peut être lue directement sur l'abaque.
Avec le même diaphragme et un grandissement de 0, 5, le format 12x18 donnera une valeur nettement supérieure :

Avec du film, la diminution exagérée du format de prise de vue posait de nombreux problèmes : grain et défauts divers de l'émulsion, risque de rayures, etc., et l'agrandissement plus important altérait davantage l'image. Les conditions ont changé avec la naissance des capteurs numériques de petit format, liée à une augmentation énorme mais discrète de la qualité des objectifs, qui sont qui plus est petite taille et plus faciles à fabriquer. La majorité des amateurs de macrophotographie sont désormais passés à la prise de vue numérique, mais ceci est une autre histoire.
Dégradation des images et profondeur de champ
Dans tout cet exposé, comme cela a été signalé en temps utile, nous avons reconnu uniquement les problèmes liés à l'intersection d'un «cône de lumière» par des plans qui ne passent pas par son sommet et nous avons délibérément mis de côté l'ensemble des autres causes qui contribuent à la formation d'une image floue. Comme toujours, à chaque fois qu'on fait des hypothèses, qu'on conçoit un modèle simplifié, on appauvrit la représentation de la réalité et notre étude n'y échappe pas.
En pratique, les images seront encore plus ou moins dégradées par un flou de bougé, par un objectif de mauvaise qualité ou endommagé, par la diffraction liée à un diaphragme trop fermé, par la granulation d'une pellicule ou la structure pixellisée d'un capteur, par un agrandissement défectueux, etc. Sans entrer ici dans le détail, signalons simplement que ces pertes de netteté supplémentaires ajoutent leurs effets à ceux que nous avons étudiés et provoquent par conséquent une diminution de la profondeur de champ apparente. Il peut même arriver que l'image ne puisse plus être perçue nulle part comme nette et dans ce cas, la notion de profondeur de champ perd la majeure partie de son intérêt.
Cette remarque en nomme une autre : quand on désire diminuer la profondeur de champ, par exemple dans le cas d'un portrait, il faut ouvrir le diaphragme en grand, ce qui reste un vœu pieux si on ne possède qu'un zoom ou un téléobjectif de type «économique». Il ne faut pas oublier que si la course à la luminosité amène à construire des pièces d'optique aussi lourdes pour le porte-monnaie que pour les épaules, elle se traduit fréquemment, hélas, par une qualité optique médiocre aux grandes ouvertures. La dépense n'est pas justifiée si le visage du modèle est presque aussi flou que le fond.
Il ne permet de rien qu'un objectif soit particulièrement lumineux, s'il n'est pas bon dès la pleine ouverture !
La remarque vaut bien entendu aussi pour les reporters sportifs ou les amateurs de photographies d'oiseaux qui cherchent avant tout non pas à diminuer la profondeur de champ, mais à opérer avec une vitesse aussi grande que envisageable.
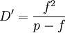
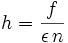
Photographie sans objectif avec un sténopé
Un boîtier dépourvu d'objectif mais pourvu d'un petit trou localisé face à la surface sensible sert à faire des photographies, pourvu que le sujet et l'appareil ne bougent pas (sauf si on souhaite un effet de filé, par exemple en photographiant un torrent), car les temps de pose sont particulièrement longs.
La lumière qui traverse le trou vient former une tache sur la surface sensible. Cette tache n'est jamais nette, car la lumière n'est pas focalisée. Si le trou est trop gros, l'image est particulièrement floue; s'il est trop petit, le temps de pose devient prohibitif et la diffraction produit de gros dégâts. L'optimum est donné par la formule
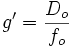
, où f est la profondeur de la chambre, équivalent de la focale. L'ouverture du "diaphragme" est alors
, ce qui est 10 000 fois moins "ouvert" qu'un objectif réglé à 5, 6.
L'image donnée par le sténopé n'est jamais nette, de sorte que la notion de profondeur de champ ne s'applique pas vraiment, ou alors avec une tolérance angulaire énorme comparé aux usages classiques. Par contre, le flou de l'image est homogène et donne alors l'impression, tant qu'il reste raisonnable, d'une profondeur de champ illimitée.
Il est important, pour que l'image ne soit pas inutilement dégradée dès le départ, que le trou ait des bords aussi nets que envisageable. Comme il est particulièrement complexe de percer une feuille de métal sans faire de bavures, mieux vaut «construire» un trou : on plante une épingle du diamètre voulu dans une plaque de polystyrène, de liège, etc. et on assemble autour d'elle, avec de la colle, huit fragments de lame de rasoir. Une fois la colle durcie, on retire l'épingle et on obtient un trou octogonal avec des bords nets, ce qui est essentiel.
Pathologies de l'œil et profondeur de champ
Des lunettes opaques percées de petits trous (lunettes sténopéiques) forment un intéressant outil de diagnostic : elles augmentent la profondeur de champ de l'œil et perfectionnent la netteté des images perçues par les personnes atteintes de troubles de la réfraction (myopie, hypermétropie, presbytie, astigmatisme).
En l'absence d'amélioration, il faut envisager une autre maladie (cataracte, rétinite, etc. ).
Bibliographie
- Louis-Philippe Clerc, La technique photographique, Paul Montel, Paris, 1934, 2e édition.
- Jean Cruset, Leçons d'optique appliquée et de photographie, École nationale des sciences géographiques, 1966, Paris, 4e édition.
- André Moussa et Paul Ponsonnet, Cours de Physique - Optique, André Desvigne, Lyon, 7e édition, 1975.
- Gérard de Vaucouleurs, Jean Dragesco et Pierre Selme, Manuel de photographie scientifique, Éditions de la Revue d'optique, Paris, 1956.
Voir aussi
Liens externes
- (fr) La profondeur de champ (PDC) - Calculateur de profondeur de champ et d'hyperfocale
- (fr) Comprendre et utiliser en pratique l'hyperfocale
- (en) Outil servant à calculer la profondeur de champ
Recherche sur Amazone (livres) : |
Voir la liste des contributeurs.
La version présentée ici à été extraite depuis cette source le 15/04/2009.
Ce texte est disponible sous les termes de la licence de documentation libre GNU (GFDL).
La liste des définitions proposées en tête de page est une sélection parmi les résultats obtenus à l'aide de la commande "define:" de Google.
Cette page fait partie du projet Wikibis.


















Accueil
Recherche
Début page
Contact
Imprimer
Accessibilité